近期,中国科学院合肥物质科学研究院固体物理研究所张建研究员团队联合中国科学技术大学肖翀教授、曲阜师范大学张永胜教授,在黄铜矿基热电材料领域取得重要突破。研究团队通过Ag/In合金化技术,在黄铜矿基热电材料中引入电荷平衡的双反位错缺陷,该电中性双反位错缺陷在提升载流子浓度的同时保持载流子迁移率,并通过In合金化诱导的合金无序散射与纳米畴之间的相互作用增强声子散射,进而显著抑制晶格热导率(κL) 。相关研究成果以“Dual-antisite defects and domain structures synergistically boosting a record-high ZT>2.0 in chalcopyrite Cu0.7Ag0.3Ga1-xInxTe2(x=0-0.5)”为题发表在Journal of the American Chemical Society (J. Am. Chem. Soc., 2026, DOI:10.1021/jacs.6c02266)上。
热电材料因可高效将热能(包括太阳能、汽车尾气和工业废热)转化为电能,已成为能源领域的研究热点。这类材料的性能通常通过无量纲优值ZT进行评估,它是衡量热电转换效率的关键指标,定义为ZT= S²σT / κ ,其中S代表塞贝克系数, σ 表示电导率,T为绝对温度, κ 指总热导率。因此,高性能热电材料需同时满足高电导率、大塞贝克系数和低热导率的要求。然而,热电材料中电子与声子的调控参数具有强耦合特性,这导致协同调控难度极大,严重制约了材料性能的提升。例如,提高载流子浓度可以增强导电性,但会不可避免地降低塞贝克系数、提升电子热导率,形成难以突破的权衡关系。因此,当前研究的核心瓶颈是克服电输运与热输运参数间的强耦合——在保持甚至增强材料固有电输运性能的同时,有效抑制热输运,这也是实现热电材料性能突破的关键。
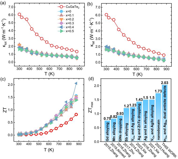
为解决单个反位缺陷调控热电性能的瓶颈问题,研究团队通过铟合金化技术,在Cu0.7Ag0.3GaTe2体系中成功引入电荷平衡的双反位缺陷。在Cu0.7Ag0.3Ga1-xInxTe2体系中,Cu/Ag与Ga/In的原子比例偏离严格的1:1化学计量比,这种固有的化学计量偏差为反位缺陷的形成提供了热力学驱动力。热力学分析表明,Ag与Cu之间存在互溶性间隙,容易发生相分离。因此,为实现原子尺度的均匀混合、抑制Ag-Cu相分离并形成均匀固溶体,需要促进反位缺陷的形成。此外,由于Cu、Ag、Ga和In四种元素的原子半径相近,反位缺陷引起的晶格畸变较小,相应的缺陷形成能垒也相对较低,为双反位缺陷的稳定存在提供了有利条件。这种双反位缺陷有效解耦了声子散射与载流子散射机制,在保持高载流子浓度的同时提升了载流子迁移率。研究结果表明,双反位缺陷增加了载流子有效质量,提升了价带顶附近的态密度,并优化了塞贝克系数。与此同时,由铟合金化引发的合金无序散射和纳米级畴结构等复杂微观结构,显著增强了声子散射效应。多种声子散射机制的协同作用使得Cu0.7Ag0.3Ga1-xInxTe2(x=0-0.5)的热导率大幅降低。最终,Cu0.7Ag0.3Ga0.6In0.4Te2在873K时实现了2.03的ZT值(零温差),在300K-873K温度范围内平均ZT值达0.61,较纯CuGaTe2提升约59%,实现了热电性能的显著突破。
双反位缺陷策略不仅改变了点缺陷工程的格局,还打破了电输运与热输运长期存在的权衡关系,为协同优化热电材料实现创纪录性能确立了新设计原则。
合肥物质院硕士研究生徐婷、中国科学技术大学副研究员白巍、合肥物质院博士研究生秦密为论文共一作者,固体所张建研究员、中国科学技术大学肖翀教授、 曲阜师范大学张永胜教授为论文共同通讯作者,合肥物质研究院为第一单位。上述研究获得国家自然科学基金、国家重点研发计划等支持。
文章链接:https://doi.org/10.1021/jacs.6c02266

图1. (a)CuGaTe2与样品Cu0.7Ag0.3Ga1-xInxTe2(x=0-0.5)的X射线衍射图谱及放大(112)峰;(b)所有样品的晶格参数a和c;(c-h)纯CuGaTe2与Cu0.7Ag0.3Ga1-xInxTe2(x=0-0.5)样品的温度依赖性电输运特性:(c)电导率,(d)塞贝克系数与载流子浓度的皮萨连科关系,(e) lnσ 随1/T变化的曲线,(f)塞贝克系数,(g)功率因数,(h)x=0.1-0.5室温载流子浓度与迁移率。

图2. (a)Cu0.7Ag0.3Ga0.6In0.4Te2(CGT-AI)的Cu2p XPS 光谱;(b)CuGaTe2(CGT)的Cu2p XPS 光谱;(c)CGT-AI的Cu LMM 俄歇光谱;(d)归一化CuK边 EXAFS 光谱;(e)Cu箔、CGT和CGT-AI的傅里叶变换k3加权 EXAFS ;(f)CGT-AI的 EXAFS 拟合曲线;(g-i)Cu箔(g)、CGT(h)和CGT-AI(i)的k3加权 EXAFS 的小波变换。

图3. (a-c)纯CuGaTe2和Cu0.7Ag0.3Ga1-xInxTe2(x=0-0.5)的性能对比:(a)总热导率(κtot),(b)晶格热导率(κL),(c)ZT值的温度依赖性;(d)本研究与已报道数据中ZTmax最大值的详细对比。